Conteúdo liberado – Conheça as remunerações do concurso TRT RS!

Acesse o conteúdo completo – Conheça as remunerações do concurso TRT RS!



Baixar apostila para concurso

As remunerações do concurso TRT RS podem chegar a quase R$30 mil!

Tribunal Regional do Trabalho do Rio Grande do Sul autorizou a realização de um novo concurso para servidores.

A comissão já está formada e é responsável por iniciar os trâmites necessários para o novo edital.

Os cargos e vagas ainda serão definidos, mas você pode já ir se preparando e conhecendo um pouco mais sobre a estrutura remuneratória do tribunal e seus servidores!

Remunerações do concurso TRT RS

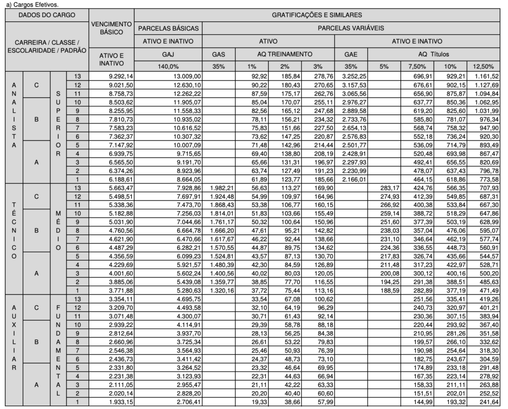
Tabela remuneratória do TRT 4

De acordo com a edição do dia 10 de janeiro de 2023 do Diário Oficial da União, ficou alterada a Lei nº 11.416, de 15 de dezembro de 2006, para reajustar a remuneração das carreiras dos servidores dos quadros de pessoal do Poder Judiciário da União.

Conforme a publicação, “os valores constantes dos Anexos II, III e VIII da Lei nº 11.416, de 15 de dezembro de 2006, e as demais parcelas remuneratórias devidas às carreiras dos servidores dos quadros de pessoal do Poder Judiciário da União foram reajustados em parcelas sucessivas e cumulativas, da seguinte forma:

I – 6% , a partir de 1º de fevereiro de 2023;

II – 6% , a partir de 1º de fevereiro de 2024;

III – 6,13% , a partir de 1º de fevereiro de 2025.

Vale lembrar que os salários dos servidores dos Tribunais são compostos pelo vencimento básico + GAJ (Gratificação de Atividade Judiciária), além de outras gratificações, como o GAE (Gratificação de Atividade Externa) e GAS (Gratificação de Atividade de Segurança), quando aplicável.

Com a mudança, a estrutura remuneratória apresentada passa a ter os seguintes salários iniciais para as carreias de Técnico e Analista:

  • Analista Judiciário (Vencimento básico + GAJ)
    • 2025
      • Inicial: R$ 14.852,66
      • Final: R$ 22.301,14
  • Técnico Judiciário (Vencimento básico + GAJ)
    • 2025
      • Inicial: R$ 9.052,54
      • Final: R$ 13.592,33

A partir de 2025, além do vencimento básico atualizado, os aprovados terão direito a benefícios como auxílio pré-escolar no valor de R$ 1.235,77, e auxílio alimentação no valor de R$1.460,90Auxílio-Natalidade no valor de R$718,58 e Auxílio-Saúde no valor de R$579,39.

Nova proposta de reajuste

O Projeto de Lei 4750/25 (PL 4750/25), relatado pelo deputado Rafael Prudente (MDB-DF), propõe um aumento de 8% nos salários em julho de cada ano, cobrindo o período de 2026 a 2028, somando 25,97% ao final dos 3 anos com a correção.

O texto está sob análise do Senado Federal e, se aprovado, os vencimentos para Analista e Técnico passarão a ter os valores abaixo:

Salários conforme o PL 4750/2025

CARGOCLASSEPADRÃOA partir de 1°/7/2026A partir de 1°/7/2027A partir de 1°/7/2028
Analista JudiciárioC1310.035,5110.838,3511.705,42
129.743,2210.522,6811.364,49
119.459,4310.216,1811.033,48
109.183,919.918,6210.712,11
98.916,439.629,7410.400,42
B88.435,599.110,449.839,27
78.189,898.845,089.552,69
67.951,368.587,479.274,47
57.719,758.337,339.004,32
47.494,938.094,528.742,09
A37.090,747.658,008.270,64
26.884,207.434,948.029,73
16.683,707.218,397.795,87
Técnico JudiciárioC136.116,556.605,877.134,34
125.938,396.413,466.926,54
115.765,436.226,666.724,80
105.597,516.045,316.528,94
B95.434,455.869,216.338,34
85.141,405.552,725.996,93
74.991,655.390,985.822,26
64.846,275.233,985.652,69
54.705,125.081,535.488,05
A44.568,074.933,515.328,19
34.321,734.667,475.040,86
24.195,864.531,534.894,06
14.073,634.399,524.751,48

Você pode conferir o detalhamento da folha de pagamento de pessoal e ver os valores reais!

Para saber tudo sobre a seleção, acesse: concurso TRT RS

Quer estudar para concurso TRT4?

Prepare-se com o melhor material e com quem mais aprova em Concursos Públicos em todo o país.

Assinatura Concursos

Assinatura de 1 ano ou 2 anos

Quer saber tudo sobre concursos previstos?
Confira nossos artigos!

Fonte: Estratégia Concursos

Download disponível – Conheça as remunerações do concurso TRT RS!



Baixar apostila para concurso

Deixe um comentário

O seu endereço de e-mail não será publicado. Campos obrigatórios são marcados com *