Acesse o conteúdo completo – Medidas de Dispersão
Aprenda os conceitos essenciais sobre medidas de dispersão com um resumo para as principais provas de concursos.
Olá, pessoal! Tudo bem com vocês?
Nas provas de Matemática e Estatística dos concursos públicos, não basta saber calcular médias. As bancas também cobram a capacidade de analisar o quanto os dados variam em torno de um valor central. É exatamente nesse ponto que entram as medidas de dispersão.
Essas medidas complementam as medidas de tendência central e permitem avaliar se os dados estão mais concentrados ou mais espalhados. Em provas da FGV, CEBRASPE e FCC, é comum a cobrança conceitual, comparativa e, principalmente, por meio de exemplos práticos.
Neste artigo, vamos entender como funcionam as principais medidas de dispersão, com explicações e exemplos que facilitam a compreensão, para que você possa revisar a matéria de forma rápida e estratégica.
Confira os tópicos que serão abordados:
- O que são medidas de dispersão;
- Amplitude;
- Variância;
- Desvio padrão;
- Coeficiente de variação;
- Exemplo prático;
- Resumo.
Medidas de Dispersão
As medidas de dispersão indicam o grau de variabilidade dos dados em relação a um valor central, como a média ou a mediana. Em outras palavras, elas mostram o quão homogêneo ou heterogêneo é um conjunto de dados.
Dois conjuntos podem ter a mesma média, mas comportamentos completamente diferentes. As medidas de dispersão permitem identificar essa diferença, o que as torna fundamentais em análises estatísticas e bastante exploradas em provas.
De forma geral:
- Baixa dispersão indica dados mais concentrados
- Alta dispersão indica dados mais espalhados
Amplitude
A amplitude é a medida de dispersão mais simples. Ela corresponde à diferença entre o maior e o menor valor do conjunto.
Amplitude = Valor máximo – Valor mínimo
Apesar de simples, a amplitude é sensível a valores extremos e, por isso, deve ser analisada com cautela.
Observação de prova: a amplitude não considera todos os valores, apenas os extremos.
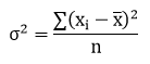
Variância
A variância mede o grau médio de afastamento dos valores em relação à média aritmética. Ela é calculada a partir dos quadrados dos desvios em relação à média.
Para uma população, ou seja, todos os valores, a variância é dada por:

Para uma amostra, utiliza-se:

Ponto de atenção em concursos: a variância sempre é não negativa, pois envolve quadrados.
Desvio Padrão
O desvio padrão é a raiz quadrada da variância. Ele indica, em média, o quanto os dados se afastam da média, na mesma unidade dos dados originais, diferentemente da variância, o que facilita a interpretação.
Para a população, o desvio padrão é:

Por outro lado, para uma amostra, o desvio padrão é:

Quando todos os valores de uma população ou amostra são iguais, o desvio padrão é igual a zero. Além disso, quanto maior o desvio padrão, maior a dispersão dos dados.
Em provas, o desvio padrão é frequentemente comparado entre dois conjuntos para identificar qual é mais homogêneo.
Coeficiente de Variação
O coeficiente de variação (CV) é uma medida relativa de dispersão. Ele relaciona o desvio padrão com a média, sendo expresso em porcentagem.

Essa medida é muito útil para comparar dispersões de conjuntos com médias diferentes.
Regra prática: quanto menor o coeficiente de variação, mais homogêneo é o conjunto de dados.
Exemplo Prático – Medidas de Dispersão
Considere o seguinte conjunto de dados:
2, 4, 6, 8
1) Média aritmética:

2) Amplitude:
Amplitude = 8 – 2 = 6
3) Variância (populacional):

4) Desvio padrão:

5) Coeficiente de variação:

Resumo – Medidas de Dispersão
Para te ajudar a revisar tudo o que vimos até aqui sobre medidas de dispersão, de forma rápida e estratégica, preparamos um resumo:
| Medida | O que indica | Fórmula | Observação |
| Amplitude | Diferença entre extremos | Amplitude = Valor máximo – Valor mínimo | Muito sensível a valores extremos |
| Variância | Dispersão média ao quadrado | ![]() | Sempre não negativa |
| Desvio padrão | Dispersão média | Raiz quadrada da variância | Mesma unidade dos dados |
| Coeficiente de variação | Dispersão relativa | ![]() | Permite comparação entre conjuntos |
Finalizando – Medidas de Dispersão
As medidas de dispersão são essenciais para compreender o comportamento dos dados além da média. Por isso, elas aparecem com frequência em provas de concursos públicos, tanto em cálculos diretos quanto em análises conceituais e comparativas.
Dominar amplitude, variância, desvio padrão e coeficiente de variação permite resolver questões com mais segurança e identificar rapidamente armadilhas das bancas. Assim, o entendimento sólido das medidas de dispersão diferencia o candidato preparado daquele que apenas memoriza fórmulas. A chave para esse domínio está na prática.
É importante reforçar que este conteúdo deve ser utilizado como complemento ao material em PDF, onde a abordagem é aprofundada e completa. Além disso, é fundamental praticar com muitas questões, preferencialmente separadas por banca, para entender as diferentes formas de cobrança.
Quer se aprofundar no tema? O Estratégia Concursos disponibiliza materiais em PDF completos e atualizados, com teoria detalhada, questões comentadas e videoaulas direcionadas para cada concurso. Com prática e um bom material, você estará preparado para resolver qualquer questão de medidas de dispersão que aparecer na sua prova.
Acesse os cursos do Estratégia Concursos e fortaleça sua preparação com um conteúdo de alto nível.
Bons estudos e até a próxima!
Cursos e Assinaturas
Prepare-se com o melhor material e com quem mais aprova em Concursos Públicos em todo o país!
Concursos Abertos
Concursos 2026
Fonte: Estratégia Concursos

