Acesse o conteúdo completo – Regra de Três Simples e Composta
Aprenda os conceitos essenciais sobre regra de três simples e composta com um resumo para as principais provas de concursos.

Olá, pessoal! Tudo bem com vocês?
Quando se trata de Matemática e Raciocínio Lógico, alguns temas são recorrentes nos mais variados tipos de concurso. É o caso da regra de três simples e composta, assunto presente em editais de bancas como FGV, CEBRASPE e FCC. Trata-se de uma ferramenta prática para resolver problemas envolvendo proporcionalidade entre grandezas, e pode aparecer tanto em questões básicas quanto em enunciados mais elaborados.
Neste artigo, apresentaremos um resumo objetivo sobre regra de três simples e composta, para que você possa revisar a matéria de forma rápida e estratégica.
Confira os tópicos que serão abordados:
- Relações entre grandezas;
- Regra de três simples;
- Regra de três composta;
- Passo a passo para a prova.
Relações entre grandezas
Antes de aplicar a regra de três simples e a composta, é fundamental entender o comportamento das grandezas. Em geral, há dois tipos de relação:
- Grandezas diretamente proporcionais: quando uma grandeza aumenta e a outra também aumenta (ou quando uma diminui e a outra também diminui). Exemplos: o preço total de uma compra e a quantidade de produtos adquiridos; a distância percorrida e o tempo de viagem (com velocidade constante), o salário de um trabalhador e o número de horas extras realizadas.
- Grandezas inversamente proporcionais: quando uma grandeza aumenta e a outra diminui. Exemplos: o número de operários em uma obra e o tempo necessário para concluí-la; a velocidade de um veículo e o tempo gasto para percorrer uma mesma distância; a quantidade de torneiras abertas e o tempo para encher um reservatório.
Reconhecer o tipo de proporcionalidade é a chave para montar corretamente o raciocínio que a questão exige e para aplicar o passo a passo das regras de três simples e composta.
Regra de três simples
A regra de três simples envolve apenas duas grandezas. O objetivo é encontrar um valor desconhecido a partir de outros três já fornecidos.
1) Regra de três simples com grandezas diretamente proporcionais
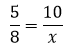
Exemplo: Se 5 lápis custam R$ 10, quanto custarão 8 lápis?
O raciocínio é: mais lápis → maior preço. Portanto, trata-se de grandezas diretamente proporcionais.
Para resolver esse exemplo, iremos montar uma tabela com os valores fornecidos:
Matematicamente, podemos transformar essa tabela em uma igualdade de frações:

Para resolver essa igualdade, multiplicamos em cruz:
5x = 8 x 10
5x = 80
x = 80 : 5
x = 16
Logo, 8 lápis custarão R$ 16.
2) Regra de três simples com grandezas inversamente proporcionais
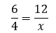
Exemplo: Uma equipe de 4 pintores termina uma obra em 12 dias. Em quantos dias 6 pintores farão o mesmo serviço?
Nesse caso, mais pintores → menos tempo (dias). Portanto, trata-se de grandezas inversamente proporcionais.
Para resolver a questão, montaremos uma tabela seguindo o mesmo formato anterior:
Aqui, surge a única diferença entre o exemplo anterior e o atual. Para a regra de três com grandezas inversamente proporcionais, devemos inverter a coluna sem o x. Nesse caso, portanto, inverteremos a coluna dos pintores, gerando a seguinte equação:

Resolvendo, temos:
6x = 4 x 12
6x = 48
x = 8 dias
Regra de três composta
A regra de três composta aparece quando há mais de duas grandezas envolvidas. Assim, nesse tipo de problema, precisamos analisar se cada grandeza possui relação direta ou inversa com a grandeza principal, que contém a incógnita (x).
Exemplo: Para alimentar 10 cachorros em um canil, durante 20 dias, um veterinário precisa de 50 kg de ração. Caso cheguem mais 6 cachorros no canil, quantos dias 40 kg dessa ração duraria?
Etapas:
- Montar a tabela de grandezas;
- Escolher a grandeza principal (possui a incógnita);
- Comparar as demais com ela para verificar as relações;
- Formular a equação matemática, isolando a coluna com a grandeza principal e invertendo as colunas com grandezas inversamente proporcionais em relação à grandeza principal.
| Cachorros | Dias | Ração |
| 10 | 20 | 50 |
| 16 | x | 40 |
Como queremos saber o número de dias, essa será a nossa grandeza principal. Analisando as outras grandezas, verificamos que, se o número de cachorros aumenta, o tempo de duração da ração diminui (relação inversa). Por outro lado, mais ração faz a quantidade de dias aumentar (relação direta).

Assim, iremos isolar a coluna com a grandeza principal, manter as colunas com relação direta e inverter as colunas com relação inversa:

800x = 20 x 400
800x = 8.000
x = 10 dias
Passo a passo para a prova – regra de três simples e composta
Para garantir rapidez e precisão no dia da prova, você pode seguir os seguintes passos para a regra de três simples e para a composta:
- Identifique a grandeza principal (normalmente aquela que o problema pede).
- Classifique as relações entre a grandeza principal e as demais (direta ou inversa).
- Monte a proporção de forma organizada.
- Resolva o cálculo, simplificando os números sempre que possível antes das multiplicações.
- Revise a coerência da resposta, verificando se faz sentido em relação ao enunciado.
Esse roteiro ajuda a evitar erros comuns, especialmente em problemas de regra de três composta.
Finalizando – regra de três simples e composta
A regra três é um dos temas mais recorrentes em concursos públicos, sendo aplicada em questões de raciocínio lógico, matemática básica e até em situações contextualizadas, como problemas de consumo, tempo e produção. Por isso, dominar a diferença entre relações diretas e inversas, praticar a regra de três simples e entender o raciocínio da regra de três composta são passos indispensáveis para alcançar bons resultados.
Ao estudar esse tema, lembre-se de que a banca pode apresentar enunciados mais longos ou com dados aparentemente irrelevantes, mas a lógica da resolução permanece a mesma. A chave para o domínio está na prática.
É importante reforçar que este conteúdo deve ser utilizado como complemento ao material em PDF, onde a abordagem é aprofundada e completa. É fundamental praticar com muitas questões, preferencialmente separadas por banca, para entender as diferentes formas de cobrança.
Quer se aprofundar no tema? O Estratégia Concursos disponibiliza materiais em PDF completos e atualizados, com teoria detalhada, questões comentadas e videoaulas direcionadas para cada concurso. Com prática e um bom material, você estará preparado para resolver qualquer questão de regra de três simples ou composta que aparecer na sua prova.
Acesse os cursos do Estratégia Concursos e fortaleça sua preparação com um conteúdo de alto nível.
Bons estudos e até a próxima!
Cursos e Assinaturas
Prepare-se com o melhor material e com quem mais aprova em Concursos Públicos em todo o país!
Concursos Abertos
Concursos 2025
Fonte: Estratégia Concursos

